Le programme

Les matériaux et l’énergie sont omniprésents dans la vie de tous les jours. La diversité de leur champ d’application nécessite des ingénieurs ayant une connaissance globale des techniques liées à leur mise en oeuvre et une solide connaissance de leur comportement. Les entreprises ont besoin d’améliorer sans cesse ces procédés, et de suivre l’évolution de ces technologies. Elles recherchent des chefs de projets capables de comprendre les mécanismes de production, qui valorisent leur savoir technique par des compétences dans différents domaines tels que la qualité ou le management tout en respectant les écosystèmes et l’environnement. Le programme dispensé se veut ainsi être un équilibre entre la science des matériaux indispensable au métier d’ingénieur, les énergies, leur efficacité, l’innovation durable et la science du management atout majeur du futur chef de projet engagé.

SI VOUS SOUHAITEZ DES INFORMATIONS COMPLÉMENTAIRES CONCERNANT LE PROGRAMME, CONTACTEZ-NOUS

ALTERNANCE PAR ANNEE DE MASTER

Entreprise – 23 semaines

Université – 29 semaines

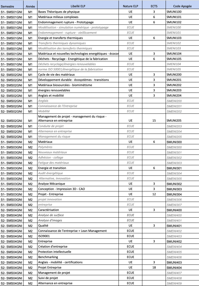
PROGRAMME - MAQUETTES

Capture d’écran le 2025 09 25 à 17.23.09